发布时间:2012-03-23 共1页
| 一、A1型题:以下每一道题下面有A、B、C、D、E五个备选答案。请从中选择一个最佳答案。 |
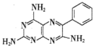
1.具有下列结构是( )![]() |
| 正确答案:C |
|
|
| 2.咖啡因化学结构的母核是( ) |
| 正确答案:C |
|
|
| 3.下列哪个反应是黄嘌呤类药物的特征反应( ) |
| 正确答案:B |
|
|
| 4.尼可刹米属于哪一类中枢兴奋药( ) |
| 正确答案:C |
|
|
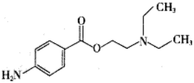
| 5.尼可刹米的结构为( ) |
| 正确答案:A |
|
|
| 二、B型题:是一组试题(2至4个)公用一组A、B、C、D、E五个备选。选项在前,题干在后。每题只有一个正确答案。每个选项可供选择一次,也可重复选用,也可不被选用。考生只需为每一道题选出一个最佳答案。 |
| (6-10题共用备选答案) |
A.![]() B. ![]() C. ![]() D. ![]() E. ![]() |
| 6.氨苯蝶啶的化学结构是( ) | |
| 7.氢氯噻嗪的化学结构是( ) | |
| 8.螺内酯的化学结构是( ) | |
| 9.呋塞米的化学结构是( ) | |
| 10.依他尼酸的化学结构是( ) |
| 正确答案:6.E,7.A,8.D,9.C,10.B |
|
|
| (11-15题共用备选答案) |
| A.氢氯噻嗪 B.氨苯蝶啶 C.依他尼酸 D.螺内酯 E.呋塞米 |
| 11.属于磺酰胺类利尿药的是( ) | |
| 12.属于苯氧乙酸类利尿药的是( ) | |
| 13.属于苯并噻嗪类利尿药的是( ) | |
| 14.属于醛固酮拮抗剂类利尿药的是( ) | |
| 15.属于含氮杂环类利尿药的是( ) |
| 正确答案:11.E,12.C,13.A,14.D,15.B |