发布时间:2012-07-25 共7页
| 61.在实施建设工程旁站监理时,属于旁站监理人员职责的是( )。 |
| 正确答案:C 解题思路:旁站监理的职责四条中,前两项请考生特别关注。本题是常识题。 |
|
|
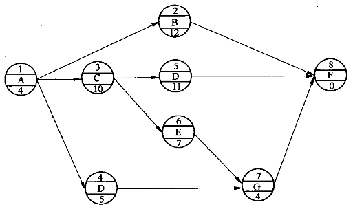
62.某工程单代号网络计划如下图所示,其关键线路有( )条。![]() |
| 正确答案:B |
|
|
| 63.经过审批部门批准应当采用邀请招标方式进行招标的是( )。 |
| 正确答案:C 解题思路:本题考核点是建设工程施工招标的程序和要求。对于有些特殊项目,采用邀请招标方式确实更加有利。根据我国的有关规定,有下列情形之一的,经批准可以进行邀请招标:(1)项目技术复杂或有特殊要求,只有少量几家潜在投标人可供选择的;(2)受自然地域环境限制的;(3)涉及国家安全、国家秘密或者抢险救灾,适宜招标但不宜公开招标的;(4)拟公开招标的费用与项目的价值相比,不值得的;(5)法律、法规规定不宜公开招标的。招标人采用邀请招标方式,应当向三个以上具备承担招标项目的能力、资信良好的特定的法人或者其他组织发出投标邀请书。 |
|
|
| 64.施工项目经理部确定安全检查内容的依据是( )。 |
| 正确答案:A |
|
|
| 65.以下关于综合成本分析方法的表述中,正确的是( )。 |
| 正确答案:B |
|
|
| 66.项目组织结构图必须反映( )之间的组织关系。 |
| 正确答案:B |
|
|
| 67.论证建设工程项目总进度目标时,需要进行: ①总进度计划的编制; ②进度计划系统的结构分析; ③项目结构的分析等多项工作。 仅就上述三项工作而言,其正确的顺序为( )。 |
| 正确答案:D 解题思路:考核次序,是一类常见的题型,本题几乎就是2004年试题的翻版。 |
|
|
| 68.在施工过程总投资的计划值和实际值进行比较时,不包含( )。 |
| 正确答案:C |
|
|
| 69.施工企业进行会计核算时的会计要素包括( )。 |
| 正确答案:C 解题思路:本题考核点为施工成本分析的依据。资产、负债、所有者权益、收入、费用和利润等会计六要素指标,主要是通过会计来核算。由于会计记录具有连续性、系统性、综合性等特点,所以是施工成本分析的重要依据。 |
|
|
| 70.在建设工程项目施工过程中,由于实际地质条件与勘察资料不符,而发生了设计变更,使基底换填增加了工程量,对于该新增工程量的综合单价,应( )作为结算的依据。 |
| 正确答案:B 解题思路:本题考核点为工程变更价款的确定方法。 |
|
|
| 71.在人口稠密地区进行强噪声作业时,一般停止作业的时间为( )。 |
| 正确答案:D |
|
|
| 72.英国的NEC合同条件是一种( )。 |
| 正确答案:D |
|
|
| 73.根据我国《招标投标法》,若招标人需要对已发出的招标文件进行必要的澄清或者修改,应当至少在招标文件中规定的投标文件截止时间前( )日,以书面形式通知所有招标文件收受人。 |
| 正确答案:B 解题思路:本题考核点是建设工程施工招标的程序和要求。招标人对已发出的招标文件进行必要的澄清或者修改,应当在招标文件要求提交投标文件截止时间至少15日前发出。 |
|
|
| 74.采用工程项目总承包模式的建设工程项目,发包人可将( )等一系列工作全部发包给一家承包单位承包。 |
| 正确答案:B |
|
|
| 75.投资控制的纠偏措施不含( )。 |
| 正确答案:D |
|
|
| 76.某工程网络计划中工作M的总时差和自由时差分别为5天和3天,该计划执行过程中经检查发现只有工作M的实际进度拖后4天,则工作M的实际进度( )。 |
| 正确答案:D |
|
|
| 77.论证建设工程项目总进度目标,需要进行: ①总进度计划的编制。 ②进度计划系统结构分析。 ③项目结构的分析等多项工作。 仅就上述三项工作而言,其正确的顺序为( )。 |
| 正确答案:D |
|
|
| 78.单位工程完工后,( )应组织检查、评定,符合验收标准后,向建设单位提交验收申请。 |
| 正确答案:A |
|
|
79.某建设工程项目施工过程中,收集到的分部工程A的资料见下表。则分部工程A的施工成本节约( )。![]() |
正确答案:B 解题思路:本题考核点为施工成本控制的方法。衡量成本偏差可以用公式:费用偏差(CV)=已完工作预算费用(BCWP)-已完工作实际费用(ACWP)根据该关系式计算过程为:CV=500m ×350元/m -500m ×320元/m =15000 |
|
|
| 80.建设工程项目工程款的支付担保是指( )提供的担保。 |
| 正确答案:A 解题思路:本题考核点是支付担保。支付担保是中标人要求招标人提供的保证履行合同中约定的工程款支付义务的担保,即发包人向承包人提供的保证履行合同中约定的工程款支付义务的担保。工程款支付担保的作用在于,通过对业主资信状况进行严格审查并落实各项担保措施,确保工程费用及时支付到位;一旦业主违约,付款担保人将代为履约。 |
|
|