发布时间:2010-01-19 共1页
建筑物价值=重置成本一年贬值额×已使用年限
计算贬值额的方法有很多种,如直线折旧法、余额递减法、年数合计法、成新折扣法等。常用的计算贬值额方法是直线折旧法和成新折扣法。
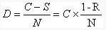
1、直线折旧法计算建筑物每年的贬值额为:(假设建筑物的价值损耗是均匀的)

式中:D——年贬值额;
C——建筑物的重新建造成本;
S——建筑物的净残值;
N——建筑物的耐用年限;(注意不能大于土地的尚可使用年限)
R——建筑物的残值率,即建筑物的净残值与重新建造成本的比率。
2、成新折扣法
根据建筑物的建成年代、新旧程度、功能损耗等,确定建筑物的成新率,直接求取建筑物的现值。
建筑物价值=重置成本×成新率
注意:投资利息的计算方法和不要忘记考虑开发利润和土地增值收益。