资产评估师:计算资产的价值基本方法

发布时间:2010-01-19 共1页

  基本方法

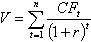
  资产的价值等于其预期未来的全部现金流的现值总和。

  其中:

  V——资产的价值

  n——资产的寿命

  CFt——资产在t时刻产生现金流量

  r——反映预期现金流风险的折现率

  此法主要适用于对公司股权估价和对公司整体进行估价,这两种估价都要折现预期现金流,但所使用的现金流和折现率有所不同。

百分百考试网 考试宝典

立即免费试用