2012年岩土工程师考试模拟试题:地基处理(案例分析题1)

发布时间:2012-07-25 共1页

地基处理(案例分析题1)
一、案例分析
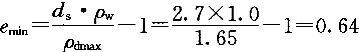
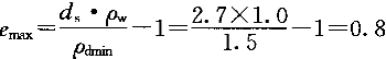
1.采用直径600mm的挤密砂桩法处理某松砂地基,砂桩正方形布置,场地要求经过处理后砂土的相对密实度达到D=0.85。已知砂土天然孔隙比e=0.78,最大干密度ρ=1.65g/cm,最小干密度ρ=1.50g/cm,砂土的相对密度(比重)为2.7,不考虑振动下沉密实作用。根据《建筑地基处理技术规范》(JGJ79-2002),确定砂桩的桩间距宜为(   )。



 
正确答案:D 解题思路:该题是砂石桩法处理地基确定砂石桩间距的一道题目。
根据《建筑地基处理技术规范》(JGJ79-2002)确定砂桩的桩间距:
填土的最大和最小孔隙比:


地基挤密后要求达到的孔隙比:

砂桩的桩间距:

 

百分百考试网 考试宝典

立即免费试用