2012年岩土工程师考试基础知识模拟试题:高等数学(单项选择题1)

发布时间:2012-07-25 共1页

高等数学(单项选择题1)
一、单项题的备选项中只有一个最符合题意,错选、多选均不得分。
1.给出线性方程组
λx+y+z=1
x+λy+z=λ
x+y+λz=λ
下述结论错误的是(   )。



 
正确答案:D 解题思路:这是一道计算判别题,线性方程组的系数行列式
=(λ-1)(λ+2)
当λ≠1且λ≠-2时,系数行列式不等于零,线性方程组有唯一解,故A正确。当λ=1时,增广矩阵为

系数矩阵和增广矩阵的秩相等为1,且小于3,线性方程组有无穷多组解,故C正确,当λ=-2时,增广矩阵为

系数矩阵的秩为2,而增广矩阵的秩为3,线性方程组无解,故B正确。因此此题答案为D。
 
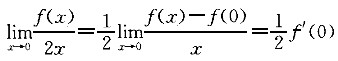
2.设f(x)为可导函数,且满足条件
=1,f(0)=0
则曲线y=f(x)在点(0,f(0))处的切线斜率为(   )。



 
正确答案:A 解题思路:这是一道基本概念题,主要考查考生对函数f(x)在x=0处的导数f′(0)的定义及f′(0)的几何意义的理解程度,由导数的定义,有

所以有1/2f′(0)=1,从而f′(0)=21又因为f(0)在几何上表示曲线y=f(x)在点(0,f(0))处的切线的斜率,故选A。这一题的关键是根据导数的定义把题中的极限表示为1/2f′(0)。
 
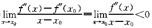
3.设f′(x)=f″(x)=0,f(x)<0.则下列结论正确的是(   )。



 
正确答案:B 解题思路:这是一道分析选择题,由已知条件及

知:在x的某邻域内,当x<x时,f″(x)>0;当x>x时,f″(x)<0。于是f″(x)在x的左右两侧邻近的符号相反,即曲线弧的凹凸性改变,故点(x,f(x))是拐点:又由此可知,当x<x时,f′(x)单调增;当x>x时,f′(x)单调减,且已知f′(x)=0,所以在x的左右邻侧f′(x)<0,进而可知在x的左右邻侧,f′(x)单调减。故x不是f′(x)极值点,从而选B。
注:此题也可利用泰勒公式和拉格朗日中值定理解,但不如利用上述分析法简捷。
 
4.设随机变量X服从正态分布N(μ,σ),则P(X≤2σ+μ)的值为(   )。



 
正确答案:B 解题思路:这可以说是一道技巧题,主要考查考生对正态分布的性质理解和掌握程度,事实上,因为X~N(μ,σ),由正态分布的性质,将随机变量X标准化,可知X-μ/σ~N(0,1),故可知概率P(X≤2σ+μ)=P(X-μ/σ≤2)与σ和μ无关,从而此题答案为B。如果将概率P(X≤2σ+μ)写成X的密度函数的积分形式,再作积分变换,最后得出结论,则要麻烦多了。
 
5.设f′(x)是以2π为周期的周期函数,它在[-π,π]上的表达式为f(x)=|x|,则f(x)的傅立叶展开式为(   )。



 
正确答案:A 解题思路:表面上看来,这是一道计算题,实际上这是一道记忆判别类型题。因为函数f(x)=|x|(-π≤x≤π)是偶函数,f(x)的傅立叶级数是只含有常数项和余弦项的余弦级数形式:
a/2+acosnx
故此即可排除选择B。又因为
a==π≠0
C与D中均无常数项,故排除。剩下的毫无疑问地选择A。这里使用的是根据熟记的有关公式进行分析判别的排除法。

百分百考试网 考试宝典

立即免费试用