发布时间:2012-07-25 共1页
| 一、单项选择题 |
| 1.某项目组成甲、乙、丙、丁共4个专业队在5个段上进行无节奏流水施工,各队的流水节拍分别是:甲队为3、5、3、2、2周,乙队为2、3、1、4、5周,丙队为4、1、3、2、5周,丁队为5、3、4、2、1周,该项目总工期为( )周。 |
| 正确答案:A 解题思路:首先要计算出流水步距。流水步距可以采用取大差法,计算流水步距的步骤是: (1)累加各施工过程的流水节拍,形成累加数据系列; (2)相邻两施工过程的累加数据系列错位相减; (3)取差数之大者作为该两个施工过程的流水步距。 ①该题的甲、乙两施工过程的流水步距: ![]() 取最大差值为7,故甲、乙流水过程的流水步距K =7周。②乙、丙两施工过程的流水步距: ![]() 取最大差值为5,故乙、丙流水过程的流水步距K =5周。③丙、丁两施工过程的流水步距: 取最大差值为4,故丙、丁流水过程的流水步距K =4周。④工期计算:T=∑K+T =(7+5+4)+(5+3+4+2+1)=31周其中,T 是最后一个专业队丁在施工段上的持续时间。 |
2.某钢筋混凝土结构二层房屋的分项工程按A、B、C三个施工过程进行分层施工,组织成流水节拍分别为t =6d、t =6d、t =9d的加快成倍节拍流水施工,则每层的施工段数是( )。 |
| 正确答案:D 解题思路:该题重点考查的是异节奏流水施工参数的计算,并且划分2个施工层。计算步骤如下。 (1)确定流水步距:根据公式K =最大公约数(t 、t 、t ):最大公约数(6、6、9)=3,该工程流水步距为K =3天。(2)确定专业工作队数: ![]() 施工班组数为: 。(3)确定每层的施工段数:根据公式 ![]() 因为Z 和Z 都为0,所以每层的施工段数M =N=7。 |
| 3.某工程划分为A、B、C、D四个施工过程,3个施工段,流水节拍均为3天,其中A与B之间间歇1天,B与C之间搭接1天,C与D之间间歇2天,则该工程计划工期应为( )。 |
正确答案:B 解题思路:该工程为等节奏不等步距流水施工。施工过程Ⅳ=4,施工段数M=3,流水节拍t=3天,间歇时间Z +Z =1+2=3,搭接时间Z =1,根据公式T=(M+N-1)t+∑(Z +Z -Z )=(3+4-1)×3+(3-1)=20天。 |
| 4.某工作的总时差为3天,自由时差为1天,由于非承包商的原因,使该工作的实际完成时间比最早完工时间延迟了5天,则承包商可索赔工期最多是( )。 |
| 正确答案:B 解题思路:该工作的总时差为3天,说明该工作的最晚完成时间与最早完成时间的差值为3。因为非承包商的原因,该工作的实际完成时间比最早完工时间延迟了5天,即比该工作的最晚完工时间还要延迟2天,从而可能影响工期延后2天,所以承包商可索赔工期最多为2天。 |
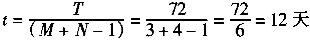
| 5.某工程按全等节拍流水组织施工,共分4道施工工序,3个施工段,估计工期为72天,则其流水节拍应为( )。 |
正确答案:C 解题思路:流水节拍的计算有三种方法:根据现有能够投入的资源(劳动力、机械台数和材料量)来确定、根据工期要求确定、根据经验估算计算。本题属于根据工期计算。施工过程Ⅳ=4个,施工段M=3个,工期T=72天。全等节拍流水施工组织中,流水节拍 。 |
|
|
| 二、多项选择题 |
| 6.某工程网络计划图中,D工作的紧后工作为E和F,其持续时间分别为6d、3d、2d,D工作第8天开始,E和F工作均于第18天必须最迟完成,则以下参数正确的是( )。 |
正确答案:BE 解题思路:该题网络图如右图所示:![]() 已知:Td=6,T =3,T =2,ES =8,LF =18LF =18由EF=ES+T,LS=LF-T 可以得到:EF =14,ES =14,ES =14,EF =17,EF =16LS =15,LS =16,LF =15,LS =9根据总时差 ![]() 自由时差 ![]() 可以得到TF =1,FF =0,TF =1,TF =2。由以上计算可知,选项BE正确。选项A的D工作自由时差应为0d,选项C中E工作的总时差应为1d,选项D中最迟开始时间应为第9天。 |
|
|
| 7.某工程网络计划图中,D工作的紧后工作为E和F,其持续时间分别为6天、3天、2天,D工作第8天开始,E和F工作均于第18天必须最迟完成,则以下参数正确的是( )。 |
正确答案:BE 解题思路:该题网络图如下图所示: 已知: 由EF=ES+T,LS=LF-T可以得到:![]() 根据总差 自由时差 可以得到TF =1,FF =0,TF =1,TF =2由以上计算可知,选项BE正确。选项A的D工作自由时差应为0天,选项C中E工作的总时差应为1天,选项D中最迟开始时间应为第9天。 |
|
|
| 8.下列关于无节奏流水施工,正确的说法是( )。 |
| 正确答案:AB 解题思路:无节奏流水施工的基本特点:①每个施工过程在各个施工段上的流水节拍,不尽相等;②在多数情况下,流水步距彼此不相等,且流水步距与流水节拍之间存在着某种函数关系;③各专业工作队都能连续施工,个别施工段可能有空闲;④专业工作队数等于施工过程数,即N=N。选项C、E错误。全等节拍流水施工适用于施工对象结构简单、工程规模较小、施工过程数不太多的房屋工程或线型工程。而无节奏流水施工适用于各种不同结构和规模的施工组织。选项D错误。 |
|
|
| 9.双代号时标网络计划适用于( )。 |
| 正确答案:BCD 解题思路:双代号时标网络计划适用于工作项目较少、工艺过程比较简单的工程,局部网络计划,作业性网络计划,以及使用实际进度前锋线的网络计划。 |
|
|
| 10.在双代号网络计划中,计算工期等于计划工期,则关键线路是( )。 |
| 正确答案:BCE |
|
|
| 三、案例分析题 |
| 11.背景: 某工程承包商按照甲方代表批准的时标网络计划组织施工。 时标网络计划如下图3所示,图中箭线上方字母为工作名称,数据为每周计划费用。在工程进展到第6周末检查的工程实际进度为:工作D完成了4/5工作量,工作E完成了1/3工作量,工作F完成了3/7的工作量。 在工程进展到第11周末检查的工程实际进度为:工作G完成了1,2的工作量,工作H完成了,3的工作量,工作I完成了2/3的工作量。 ![]() 问题: (1)在图中标出第6周末、第11周末的实际进度前锋线。 (2)完成该项目第1周到第11周末费用数据统计表,其中已完工程实际费用累积值已给出,见表5。 ![]() (3)分析第6周末、第11周末的费用偏差及费用绩效。 (4)分析第6周末、第1周末的进度偏差及进度绩效。 |
| 正确答案: (1)第6周末、第11周末的实际进度前锋线如图8所示。 ![]() (2)该项目第1周到第11周末费用数据统计见表9。 ![]() (3)费用偏差=已完工作预算费用(挣得值)-已完工作实际费用 第6周末费用偏差=67-66=1万元,即费用节约1万元 第11周末费用偏差=118-114=4万元,即费用节约4万元 费用绩效=已完工作预算费用/已完工作实际费用 第6周末费用绩效=67166=1.015,说明费用节约 第11周末费用绩效=1181114=1.035,说明费用节约 (4)进度偏差=已完工程预算费用-计划工作预算费用 第6周末进度偏差=67-69=-2万元,即进度拖延2万元 第11周末进度偏差=118-115=3万元,即进度提前3万元 进度绩效=已完工作预算费用,计划工作预算费用 第6周末进度绩效=67169=0.971,说明进度拖延 第11周末进度绩效=1181115=1.026,说明进度提前 |