发布时间:2012-07-25 共1页
十九、网络计划技术
一、单项选择题
1.某网络计划在执行中发现B工作还需作业5天,但该工作至计划最迟完成时间尚有4天,则该工作( )。
A.正常
B.影响总工期1天
C.影响总工期4天
D.影响总工期5天
正确答案:B 解题思路:超过最迟完成时间就会影响到总工期的拖延,影响工期为:5-4=1(天)。
2.当已规定了要求工期Tr时,网络计划的计划工期Tp应( )。
A.Tp=Tr
B.Tp≤Tr
C.Tp≥Tr
D.Tp<Tr
正确答案:B 解题思路:要求工期是任务委托人所提出的指令性工期,用Tr表示。计划工期是指根据要求工期和计算工期所确定的作为实施目标的工期,用TP表示。当已规定了要求工期时,计划工期不应超过要求工期,即:TP≤Tr。
3.在工程网络计划中,M工作的最早开始时间为第16天,其持续时间为4天,该工作有三项紧后工作,它们的最早开始时间分别为第22天、第23天、第25天,则M工作的自由时差为( )天。
A.4
B.2
C.3
D.5
正确答案:B 解题思路:自由时差=min{(22-16-4),(23-16-4),(25-16-4)}=2(天)。
4.单代号网络图的基本符号中"箭线"表示( )。
A.工作名称
B.一项工作
C.工作持续时间
D.紧邻工作之间的逻辑关系
正确答案:D 解题思路:网络图有双代号网络图和单代号网络图两种。双代号网络图又称箭线式网络图,它是以箭线及其两端节点的编号表示工作;同时,节点表示工作的开始或结束以及工作之间的连接状态。单代号网络图又称节点式网络图,它是以节点及其编号表示工作,箭线表示工作之间的逻辑关系。
5.某分部工程的双代号网络图如下图所示,错误之处是( )。

A.节点编号不对
B.有多余虚工作
C.有多个终点节点
D.有多个起点节点
正确答案:C 解题思路:网络图中应只有一个起点节点和一个终点节点(任务中部分工作需要分期完成的网络计划除外)。除网络图的起点节点和终点节点外,不允许出现没有外向箭线的节点和没有内向箭线的节点。本题所示网络图中有两个终点节点⑦和⑧。
二、多项选择题
6.在网络计划的工期优化过程中,为了有效地缩短工期,应选择( )的关键工作作为压缩对象。
A.持续时间最长
B.缩短时间对质量影响不大
C.直接费用最小
D.直接费用率最小
E.有充足备用资源
正确答案:BDE 解题思路:选择应缩短持续时间的关键工作。选择压缩对象时宜在关键工作中考虑下列因素:
(1)缩短持续时间对质量和安全影响不大的工作;
(2)有充足备用资源的工作;
(3)缩短持续时间所需增加的费用最少的工作。
7.某分部工程双代号网络计划如下图所示,图中错误为( )。(2004年)

A.节点编号有误
B.工作代号重复
C.多个起点节点
D.多个终点节点
E.存在循环回路
正确答案:ADE 解题思路:节点编号④、⑤、⑥出现错误;网络图中严禁出现从一个节点出发,顺箭头方向又回到原出发点的循环回路,上图中⑤、⑧、⑨构成回路;网络图中应只有一个起点节点和一个终点节点。
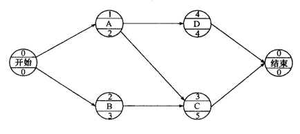
8.某工程单代号网络计划图如下,下列选项正确的是( )。

A.工作A的EF为2天
B.工作D的FF为2天
C.工作C的EF为2天
D.工作B的FF为1天
E.计算工期为8天
正确答案:ABE 解题思路:本题的解题思路参考教材中的有关讲解。
9.某分部工程双代号网络计划如下图所示。图中已标出每个节点的最早时间和最迟时间,该计划表明( )。
A.工作1-3为关键工作
B.工作1-4的总时差为1
C.工作3-6的自由时差为1
D.工作4-8的自由时差为1
E.工作6-10的总时差为3
正确答案:AD 解题思路:本题图中的关键线路为:①→③→⑥→⑦→⑧→⑩、①→③→⑤→⑦→⑧→⑩和①→④→⑤→⑦→⑧→⑩则A正确、B错误、C错误;工作④→⑧的自由时差=10-(5+4)=1(天),工作⑥→⑩的总时差=10-9=1(天)。
10.网络计划中工作之间的先后关系叫做逻辑关系,它包括( )。
A.工艺关系
B.组织关系
C.技术关系
D.控制关系
E.搭接关系
正确答案:AB 解题思路:工艺关系和组织关系是工作之间先后顺序关系-逻辑关系的组成部分。生产性工作之间由工艺过程决定的、非生产性工作之间由工作程序决定的先后顺序关系称为工艺关系。工作之间由于组织安排需要或资源(劳动力、原材料、施工机具等)调配需要而规定的先后顺序关系称为组织关系。