2012年房地产经纪人执业资格考试房地产经济相关知识习题集12

发布时间:2012-07-25 共1页

 五、房地产市场和投资知识(单项选择题2)
一、单项选择题:每题1分。每题的备选答案中,只有一个最符合题意。
1.某项目分别使用12%和14%计算所得的净现值分别为130万元和-68万元,如果该项目的期望收益率为15%,则该项目(  )。




正确答案:B 解题思路:因为15%>13.31%=IPR
 
2.某银行的利率采用复利,三年期存款年利率为12%,债券的利率为单利,若使得购买债券至少获得存款利息相等,则债券利率最低为(  )。




正确答案:D 解题思路:i=[(1+12%)-1]/3=13.49%
 
3.某项目分别使用12%和14%计算所得的净现值分别为130万元和-68万元,则该项目的内部收益率为(  )。




正确答案:D 解题思路:
 
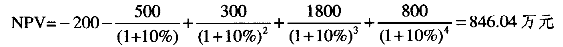
4.某房地产投资项目总投资1000万元,第一年年初投入200万元,第一年、第二年年末分别投资500万元和300万元,第三年、第四年年末销售收入分别为1600万元和800万元,行业基准收益率为10%,则净现值为(  )万元。




正确答案:C 解题思路:
 
5.某人购买一套商品住宅,首付30%,余款以6%利率、20年期货投资月限按月等额还款方式通过银行按揭方式解决。若购买的住房面积为120㎡,价格为3500元/㎡,则月还款额为(  )元。




正确答案:C 解题思路:

百分百考试网 考试宝典

立即免费试用